并查集
什么是并查集
其实并查集这个名称已经完全解释了这个数据结构了
并 合并数据 查 查找数据 集 数据的集合
即并查集就是一个可以合并数据,也可以查询数据的集合。当然这是个人理解的白话,下面用正儿八经的文字解释(其实就是 Google 搜了下定义)
并查集:是一种树形数据结构,主要用于不交集的合并以及查询问题。有一个联合-查询算法定义了两个用于此数据结构的操作。
众所周知,数据类型包含 数据+操作,数据等下面再详细介绍,这里主要列举下并查集的基本操作
- Union:将两个子集合并。例如 联合 (1) 和 (5) 集合,合并为一个集合
- Find:查找元素的源头,即查找目标节点的根节点。例如查找 (3)
并查集作用
并查集主要用于判断是否连通,简单来说就是判断其中一个节点能否经过任意路径达到另一个节点,如果可达则为连通,反之则为不可连通。例如可以用来判断大家族的亲戚关系关系,连通则为有亲戚关系,反之则无亲戚关系
并查集引入

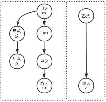
如图所示,如何判断路人甲和路人乙是不是亲戚?
step1 题目分析,路人甲和路人乙是亲戚的条件是 ”祖先是否相同“,那么可将问题转移,表现为 是否为亲戚? => 祖先是否相同?
step2 继续分析,祖先是否相同其实不好一眼识别,那么可以曲线救国,找出 ”路人甲的祖先和路人乙的祖先,然后对比两个人是否为同一个人”,那么可将问题转移,表现为 祖先是否相同? => 找出两个人的祖先,然后比较是否相同?
Find 引入
拿路人甲来举例,如何查询路人甲的祖先?根据人的一般思维做出Find 步骤推导
step1 查询路人甲的父亲:路人甲 -> 甲父 step2 查询路人甲的父亲的父亲:甲父 -> 甲爷 step3 查询路人甲的父亲的父亲的父亲:甲爷 -> 甲太爷 step4 查询路人甲…:发现甲太爷上面没人了,那么必然他就是祖先了,则路人甲的祖先就是甲太爷
同理查询出路人乙的祖先是乙父,由于 甲太爷 != 乙父,则 路人甲和路人乙不是亲戚

Union 引入
突然有一天,甲爷发现乙父是失散多年的儿子,准备让乙父认祖归宗,则此时甲爷和乙父建立了关系。那么此时路人甲和路人乙是否是亲戚?
按照上述 Find 步骤 求得 甲太爷 == 甲太爷,则 路人甲和路人乙是亲戚

并查集代码实现
数据初始化
对象存储(树形存储)
按照上面绘制的图形,甲太爷下面有甲叔公、甲爷;甲爷下面有甲父;甲父下面有路人甲…,明显得这是一个树形结构
Step1 分析出了树形结构,想都不用想,直接先整个树形结构先
class TreeNode { value: number; children: TreeNode[] | null; // 不知道子节点有多少个,所以用数组存储}Step2 树形结构整出来了,发现有点不对,按照 Find 步骤推导,子级必须可以找到父级,但是这里子级都没有存储父级,不可能从子级找到父级。所以一拍脑壳,没有就加个嘛
class TreeNode { value: number; parent: TreeNode; children: TreeNode[] | null;}Step3
打完收工,收工到一半发现还是有点不太对,按照Find 步骤推导,我根本不需要从父级找到子级,只需要从子及级找到父级,那么 children 属性 完全是浪费嘛,果断去了
class TreeNode { value: number; parent: TreeNode;}这下就科学多了,存储节点搞定了
数组存储
由 “对象存储” 我们知道了一个关键点:只需要子级找到父级即可,父级不必知道子级,那么可以采用一种更加简单的存储结构数组存储,以数组的 index 表示子节点,以 array[index] 表示该子节点的父节点,表现为 array[index] = parent;根节点的等于自身,表现为 array[root] = root;
class UnionFind { private findUnionList: number[];
constructor(max: number) { // 初始化时,让节点全部指向自己,即认为他们全都是独立的 this.findUnionList = new Array(max + 1).fill(0).map((i, ind) => ind); }}后续实例代码都使用数组存储来演示噶
Find
根据Find 步骤推导得出以下代码
class UnionFind { private findUnionList: number[];
constructor(max: number) { this.findUnionList = new Array(max + 1).fill(0).map((i, ind) => ind); }
find(x: number): number { while (x !== this.findUnionList[x]) { x = this.findUnionList[x]; } return x; }}Union
class UnionFind { private findUnionList: number[];
constructor(max: number) { this.findUnionList = new Array(max + 1).fill(0).map((i, ind) => ind); }
find(x: number): number { while (x !== this.findUnionList[x]) { x = this.findUnionList[x]; } return x; }
union(x: number, y: number) { const rootX: number = this.find(x); const rootY: number = this.find(y);
this.findUnionList[rootX] = rootY; }}并查集优化
路径压缩
观察 find 方法,每次 Find 操作时,都需要从 子->父->父.父->父.父.父…->根 去查找,如果只是几个节点那还好,如果节点数到达 1 千个、1 万个、10 万个…,显而易见的查询效率会越来越低。那么有没得啥子办法来提高查询效率?
我们观察查询步骤,发现父节点对于子节点的意义只是做为跳板,去查询根节点的,并没有其他特殊的意义,那么直接将子节点的 parent 指向根节点,每次检查都只需要一次查询就完工咯。你可以想象成把一颗”高瘦的树变成一棵矮胖的树
既然知道了优化的办法了,下面列举两种不同的实现方法
一步到位
一次 Find 操作,就将该查询链上的节点全部指向根节点
class UnionFind { private findUnionList: number[];
constructor(max: number) { this.findUnionList = new Array(max + 1).fill(0).map((i, ind) => ind); }
find(x: number): number { if (x === this.findUnionList[x]) return x; return (this.findUnionList[x] = this.find(this.findUnionList[x])); }}
循序渐进
如果是一步到位是个激进派,那么循序渐进就是一个保守派。它并不是全部直接指向根节点,而是每次把父级往前移动一个,例如原来是 子->父,现在是 子->(父->父),表现为 array[index] = array[array[index]],子的父级缓慢向前移动,最终指向 root
class UnionFind { private findUnionList: number[];
constructor(max: number) { this.findUnionList = new Array(max + 1).fill(0).map((i, ind) => ind); // 初始化时,让节点全部指向自己,即认为他们全都是独立的(全部都是单身狗 }
find(x: number): number { while (this.findUnionList[x] !== x) { const prev = x; x = this.findUnionList[x]; this.findUnionList[prev] = this.findUnionList[x]; } return x; }}
按秩合并
我们拿路人甲家族和路人乙家族来说:
- 原来路人甲 Find 操作需要 4 次查询操作才能完成查询
- 原来路人乙 Find 操作需要 2 次查询操作才能完成查询
最大查询次数 maxFind = 4
我们现在按照如下两种合并方式
路人甲家族合并到路人乙家族
- 现在路人甲 Find 操作需要 5 次查询操作才能完成查询
- 现在路人乙 Find 操作需要 2 次查询操作才能完成查询
最大查询次数 maxFind = 5 比合并前多出了 1 次

路人乙家族合并到路人甲家族
- 现在路人甲 Find 操作需要 4 次查询操作才能完成查询
- 现在路人乙 Find 操作需要 3 次查询操作才能完成查询
最大查询次数 maxFind = 4 保持为合并前最大查询次数

接下来,我们想一想为什么勒,继续回到查询步骤,我们的查询是这样的 子->父->(父.父)…->根,这查询次数不就是树的深度嘛
于是我们得到了结论:将深度小的集合 合并 到深度大的集合 可以获得更好的性能
那如果树的深度相同呢?

无论是 甲父合并到乙父 还是 乙父合并到甲父,最大查询次数都会增加,由 2 增加为 3,则当树深度相同时,就不用纠结了,谁合并谁都一样,只是深度加 1
那么对上面的结论修正:将深度小的集合 合并 到深度大的集合 可以获得更好的性能,如果集合深度相同,则任意合并,深度+1
对于树形存储的按秩合并
由于需要存储当前树的深度,则需要更新下 TreeNode
class TreeNode { value: number; parent: TreeNode; deep: number;}对于数组存储的按秩合并
由于数组已经木有地方存储树的深度了,则需要重新找个存储的地方
class UnionFind { private findUnionList: number[]; // 存储节点 private findUnionDeepList: number[]; // 存储节点深度
constructor(max: number) { this.findUnionList = new Array(max + 1).fill(0).map((i, ind) => ind); this.findUnionDeepList = new Array(max + 1).fill(0); }
find(x: number): number { while (this.findUnionList[x] !== x) { const prev = x; x = this.findUnionList[x]; this.findUnionList[prev] = this.findUnionList[x]; } return x; }
union(x: number, y: number) { const rootX: number = this.find(x); const rootY: number = this.find(y);
const deepX: number = this.findUnionDeepList[rootX]; const deepY: number = this.findUnionDeepList[rootY];
if (deepX > deepY) { this.findUnionList[rootY] = rootX; } else if (deepX < deepY) { this.findUnionList[rootX] = rootY; } else { this.findUnionList[rootX] = rootY; this.findUnionDeepList[rootY]++; } }}